最朴素的手稿,藏着最硬核的人生
日期:2026-03-16 来源: 中国科学家博物馆 正文字号:

图片

编者按

从本月起,《科学家日历》特别推出「纸页丹心」全新栏目,邀您一同走进中国科学家博物馆,触摸珍贵手稿、品读墨韵笔迹,在字里行间回望峥嵘岁月,感悟一代代中国科学家矢志报国的赤诚初心。

今天,我们便从王守武写于20世纪80年代的自传文章《我的报国路》手稿启程。

图片

1979年王守武在调试探针台

来源丨中国科学家博物馆

王守武(1919-2014),半导体器件物理学家,中国科学院院士。我国半导体事业、微电子事业的重要奠基人与拓荒者。他主持设计并研制成功我国第一台锗单晶炉、第一根锗单晶,牵头攻克技术难关,研制出我国第一批锗合金结晶体管。

图片

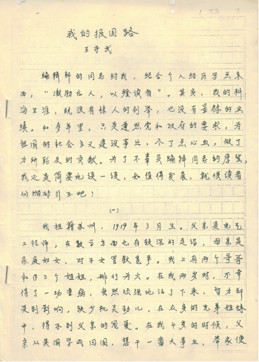
《我的报国路》

来源丨中国科学家博物馆

“编辑部的同志约我,结合个人经历写点东西,激励后人,以飨读者。其实,我的科海生涯,既没有惊人的创举,也没有显赫的业绩。40多年里,只是遵照党和政府的要求,为祖国的社会主义建设事业,尽了点心血,做了力所能及的贡献。”

这是王守武在《我的报国路》开篇写下的文字。一位为中国半导体事业开疆拓土的科学家,开篇却先说“没有惊人的创举”——这份谦逊,让人心生敬意。

1945年,憧憬“科学救国”的王守武远渡重洋,进入美国普渡大学攻读。1949年,他完成博士论文,获得博士学位。1949年10月1日,大洋彼岸传来新中国诞生的喜讯,他下决心:赶快回归祖国,报效祖国。

图片

回国前,王守武(前排)与妻子葛修怀(二排左一)及普渡大学同学合影

来源丨中国科学家博物馆

1956年,是中国科学事业的转折之年。王守武应邀参与制定《1956—1967年科学技术发展远景规划纲要》,半导体科学技术的发展被列为四大紧急措施之一。

图片

《我的报国路》

来源丨中国科学家博物馆

王守武写道:“在自学的基础上,我去中南海,去中央礼堂,去工厂农村,宣传晶体管在国计民生中的重要性。我设计制造了我国第一台控制晶体管锗材料的单晶炉,并于1957年末,研制成功了我国第一根锗单晶。随后不久,与其他同志合作,研制成功了我国第一批锗合金结晶体管。”

图片

《我的报国路》

来源丨中国科学家博物馆

王守武始终认为:“分析问题,我首先要清楚会出现毛病的原因,然后从根源上改变。我对水、试剂、气体、光刻胶、硅材料等基础原材料,都一一进行了严格检查与测试。团队逐渐形成规范,我要求每道工序重复七次,如有一次不合格,就停下来分析问题;对一般工艺,完好率要达到95%以上,关键工艺要达到99%以上。”正是这套近乎苛刻的规范,让他敢于挑战更难的任务。

1977年,全国自然科学学科规划会议后,“向集成电路进军”成为我国微电子领域核心目标。1978年,王守武接手4千位动态随机存储器的研制任务。当时,我国技术设备还很落后,受限于禁运,关键设备根本进不来。于是王守武带领团队设计了三种版图,都做出了样品。此后,他又兼任厂长,主持建成一条年产上百万块中大规模集成电路的生产线,为我国微电子产业奠定了重要基础。凭借一系列突出贡献,王守武曾荣获国家科技进步奖二等奖,多次获得中国科学院科研成果一等奖、科技进步奖二等奖,以及何梁何利基金科学与技术进步奖。

时光辗转,从青丝到白发,他把一条路走成了一生。

细细品来,正是这份云淡风轻,让我们读懂了那一代科学家的共同底色;正是这份朴素,让后人读懂了什么才是真正的报国路:不是一路高歌猛进,而是在每一个需要你的时刻,你都做好了准备!

我的报国路——简简单单五个字,却装得下王守武的一生,装得下一个时代的选择,也装得下一个民族走向复兴的坚实足迹。

史料征集

为真实全面展现新中国科技发展历史,收集保存反映老科学家学术成长经历的宝贵资料,特邀请您向采集工程捐献传记、证书、信件、手稿、著作等学术成长过程相关的各类资料。2021年采集工程项目申报现已启动,火热报名中!

详情>